Ecological Archives E089-078-A3

Timothy A. Nelson, Karalon Haberlin, Amorah V. Nelson, Heather Ribarich, Ruth Hotchkiss, Kathryn L. Van Alstyne, Lee Buckingham, Dejah J. Simunds, and Kerri Fredrickson. 2008. Ecological and physiological controls of species composition in green macroalgal blooms. Ecology 89:1287–1298.

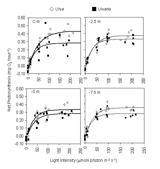
Appendix C. Net photosynthesis vs. irradiance for Ulva and Ulvaria grown at depths indicated (relative to MLLW).

FigC1
 
   FIG. C1. Net photosynthesis vs. irradiance for Ulva and Ulvaria grown at depths indicated (relative to MLLW). The upper and lower solid lines indicate the best-fit curves for Ulva and Ulvaria, respectively, as given by Eq. 1.

[Back to E089-078]