Appendix C. Figures with the evaluation of bias and precision of parameters estimated with different time invariant temporary emigration models.
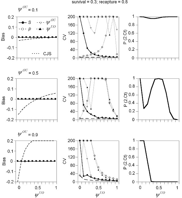
This appendix shows the evaluation 
  of the performance of the TE model under more survival and on-site recapture 
  probabilities scenarios than in Fig. 1. It shows the asymptotic absolute bias 
  and coefficient of variation (CV) of parameter estimates, 
  and the P value of the goodness-of-fit test component 2.Ct for the TE 
  model {S.,  ,
, 
   , p.}. The 
  model is evaluated under different conditions with respect to survival (S), 
  emigration (
, p.}. The 
  model is evaluated under different conditions with respect to survival (S), 
  emigration ( ), immigration 
  (
), immigration 
  ( ) and on-site recapture probabilities 
  (p). Temporary emigration is random when
) and on-site recapture probabilities 
  (p). Temporary emigration is random when  = 
  1-
= 
  1- , and emigration is permanent 
  when
, and emigration is permanent 
  when  = 0. The lines in the 
  graphs are truncated at � 0.2 (bias), at 200% (CV) and at 150 (
= 0. The lines in the 
  graphs are truncated at � 0.2 (bias), at 200% (CV) and at 150 ( ). 
  In the charts showing the bias, often only the survival rate is visible. The 
  bias in the other parameters is the same as that of the survival rate when not 
  visible. CJS refers to the survival rate estimated with the Cormack-Jolly-Seber 
  model {S., p.}.
). 
  In the charts showing the bias, often only the survival rate is visible. The 
  bias in the other parameters is the same as that of the survival rate when not 
  visible. CJS refers to the survival rate estimated with the Cormack-Jolly-Seber 
  model {S., p.}.  
|   | 
|   | 
|   |